The remainder left out when

Question:

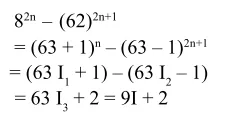
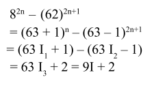
The remainder left out when $8^{2 \mathrm{n}}-(62)^{2 \mathrm{n}+1}$ is divided by 9 is :-

  1. 8

  2. 0

  3. 2


Correct Option:

Solution:

Leave a comment