The shortest distance between the line

Question:

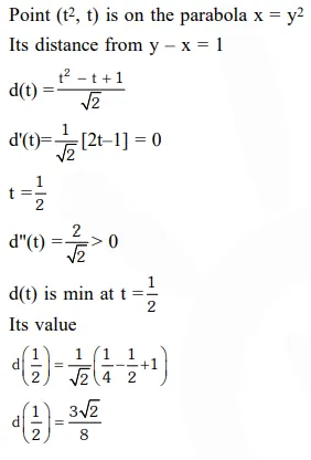
The shortest distance between the line $\mathrm{y}-\mathrm{x}=1$ and the curve $\mathrm{x}=\mathrm{y}^{2}$ is :-

 

  1. $\frac{3 \sqrt{2}}{5}$

  2. $\frac{\sqrt{3}}{4}$

  3. $\frac{3 \sqrt{2}}{8}$

  4. $\frac{2 \sqrt{3}}{8}$


Correct Option: , 3

Solution:

Leave a comment