The sides of an equilateral triangle are increasing at the rate of
Download now India's Best Exam Prepration App
Class 8-9-10, JEE & NEET
Video Lectures
Live Sessions
Study Material
Tests
Previous Year Paper
Revision
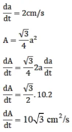
Question:
The sides of an equilateral triangle are increasing at the rate of $2 \mathrm{~cm} / \mathrm{sec}$. Find the rate at which the area is increasing when the side is $10 \mathrm{~cm}$.