The slope of the line touching both, the parabolas

Question:

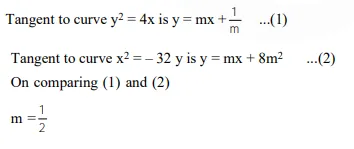
The slope of the line touching both, the parabolas $y^{2}=4 x$ and $x^{2}=-32 y$ is :

  1. $\frac{1}{2}$

  2. $\frac{3}{2}$

  3. $\frac{1}{8}$

  4. $\frac{2}{3}$


Correct Option:

Solution:

Leave a comment