Question: The spin only magnetic moments (in BM) for free $\mathrm{Ti}^{3+}, \mathrm{V}^{2+}$ and $\mathrm{Sc}^{3+}$ ions respectively are
(At.No. Sc : 21, Ti : 22, V : 23)
$3.87,1.73,0$
$1.73,3.87,0$
$1.73,0,3.87$
$0,3.87,1.73$
Correct Option: , 2
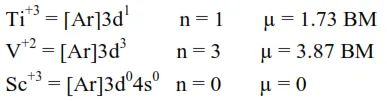
Solution:
$\mu=\sqrt{\mathrm{n}(\mathrm{n}+2)} \mathrm{BM}$
