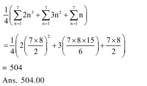
The sum, $\sum_{n=1}^{7} \frac{n(n+1)(2 n+1)}{4}$ is equal to ________.
Share via...
Or copy link
Leave a comment
All Study Material