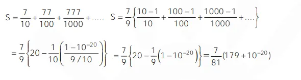
Question: The sum of first 20 terms of the sequence 0.7, 0.77, 0.777, ......, is :
$\frac{7}{81}\left(179-10^{-20}\right)$
$\frac{7}{9}\left(99-10^{-20}\right)$
$\frac{7}{81}\left(179+10^{-20}\right)$
$\frac{7}{9}\left(99-10^{-20}\right)$
Correct Option: , 3
Solution:
