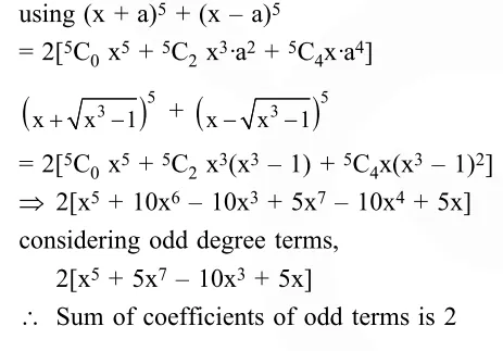
The sum of the co-efficients of all odd degree terms in the expansion of
Question:
The sum of the co-efficients of all odd degree terms in the expansion of $\left(x+\sqrt{x^{3}-1}\right)^{5}+$ $\left(x-\sqrt{x^{3}-1}\right)^{5},(x>1)$ is-
Correct Option: , 3
Solution:
