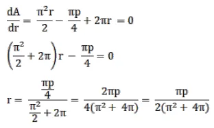
The sum of the perimeters of a square and a circle is given. Show that the sum of their areas is least when
Question:
The sum of the perimeters of a square and a circle is given. Show that the sum of their areas is least when
the side of the square is equal to the diameter of the circle.
Solution:





