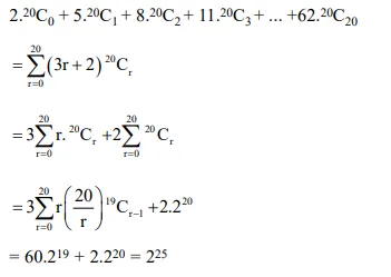
Question: The sum of the series
$2 \cdot{ }^{20} \mathrm{C}_{0}+5 \cdot{ }^{20} \mathrm{C}_{1}+8 \cdot{ }^{20} \mathrm{C}_{2}+11 .{ }^{20} \mathrm{C}_{3}+\ldots+62 . \cdot{ }^{20} \mathrm{C}_{20}$
is equal to:
$2^{24}$
$2^{25}$
$2^{26}$
$2^{23}$
Correct Option: , 2
Solution:
