The term independent of x in expansion of

Question:

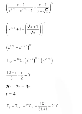
The term independent of $x$ in expansion of $\left(\frac{x+1}{x^{2 / 3}-x^{1 / 3}+1}-\frac{x-1}{x-x^{1 / 2}}\right)^{10}$ is :

  1.  4 

  2. 120

  3. 210

  4. 310


Correct Option: , 3

Solution:

Leave a comment