The tests performed on compound $mathrm{X}$ and their inferences are:

Question:

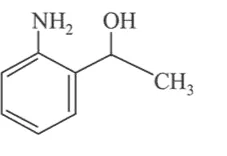
The tests performed on compound $\mathrm{X}$ and their inferences are:


Correct Option:

Solution:

Reaction involved in the tests performed is as follows:

Leave a comment