The tests performed on compound X and their inferences are:

Question:

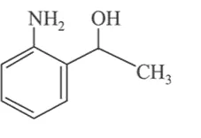
The tests performed on compound $\mathrm{X}$ and their inferences are:


Correct Option: 2,

Solution:

Reaction involved in the tests performed is as follows:

Leave a comment