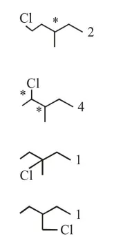
The total number of monohalogenated organic products in the following (including stereoisomers) reaction is
Question:
The total number of monohalogenated organic products in the following (including stereoisomers) reaction is
$\mathrm{A}$
(simplest optically active alkene)
$\frac{\text { (i) } \mathrm{H}_{2} / \mathrm{Ni} / \Delta}{\text { (ii) } \mathrm{X}_{2} / \Delta}$
Solution:


Alter
Str. of Tri peptide
