The total number of negative charge

Question:

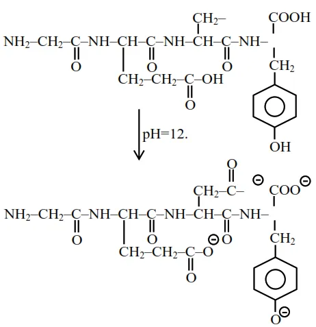
The total number of negative charge in the tetrapeptide, Gly-Glu-Asp-Tyr, at pH $12.5$ will be . (Integer answer)

Solution:

Leave a comment