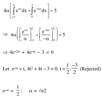
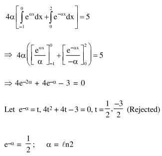
Question: The value of $\alpha$ for which $4 \alpha \int_{-1}^{2} \mathrm{e}^{-\alpha||_{\mid}} \mathrm{dx}=5$, is :
$\log _{e}\left(\frac{3}{2}\right)$
$\log _{e}\left(\frac{4}{3}\right)$
$\log _{\mathrm{e}} 2$
$\log _{\mathrm{e}} \sqrt{2}$
Correct Option: , 3
Solution:
