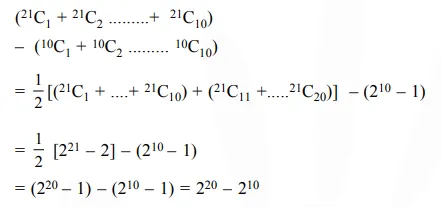
The value of
Question:
The value of
$\left({ }^{21} C_{1}-{ }^{10} C_{1}\right)+\left({ }^{21} C_{2}-{ }^{10} C_{2}\right)+$
$\left({ }^{21} \mathrm{C}_{3}-{ }^{10} \mathrm{C}_{3}\right)+\left({ }^{21} \mathrm{C}_{4}-{ }^{10} \mathrm{C}_{4}\right)+\ldots .+$
$\left({ }^{21} \mathrm{C}_{10}-{ }^{10} \mathrm{C}_{10}\right)$ is :-
Correct Option: 1
Solution:
