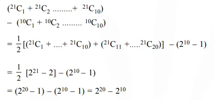
Question:
The value of
$$
\begin{aligned}
&\left({ }^{21} \mathrm{C}_{1}-{ }^{10} \mathrm{C}_{1}\right)+\left({ }^{21} \mathrm{C}_{2}-{ }^{10} \mathrm{C}_{2}\right)+ \\
&\left({ }^{21} \mathrm{C}_{3}-{ }^{10} \mathrm{C}_{3}\right)+\left({ }^{21} \mathrm{C}_{4}-{ }^{10} \mathrm{C}_{4}\right)+\ldots .+ \\
&\left({ }^{21} \mathrm{C}_{10}-{ }^{10} \mathrm{C}_{10}\right) \text { is :- }
\end{aligned}
$$
Correct Option: 1
Solution:
