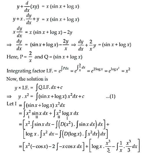
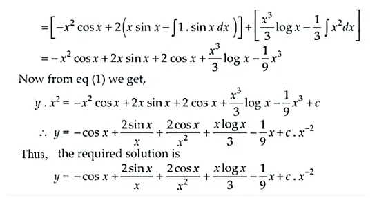
Solve :
$y+\frac{d}{d x}(x y)=x(\sin x+\log x)$
Given differential equation,
Share via...
Or copy link
Leave a comment
All Study Material