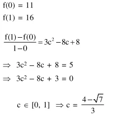
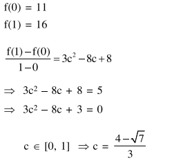
Question: The value of $\mathrm{c}$ in the Lagrange's mean value theorem for the function $f(x)=x^{3}-4 x^{2}+8 x+11$, when $x \in[0,1]$ is :
$\frac{2}{3}$
$\frac{\sqrt{7}-2}{3}$
$\frac{4-\sqrt{5}}{3}$
$\frac{4-\sqrt{7}}{3}$
Correct Option: , 4
Solution:
