Question:
The vector having initial and terminal points as (2, 5, 0) and (–3, 7, 4), respectively is
(A) $-\hat{i}+12 \hat{j}+4 \hat{k}$
(B) $5 \hat{i}+2 \hat{j}-4 \hat{k}$
(C) $-5 \hat{i}+2 \hat{j}+4 \hat{k}$
(D) $\hat{i}+\hat{j}+\hat{k}$
Solution:
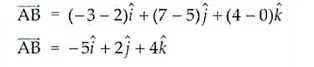
The correct option is (C).
Let A and B be two points whose coordinates are given as (2, 5, 0) and (-3, 7, 4)
So, we have
