The wave number of the first emission line in the Balmer series

Question:

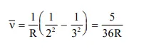
The wave number of the first emission line in the Balmer series of H-Spectrum is : $(R=$ Rydberg constant $)$ :

  1. $\frac{3}{4} R$

  2. $\frac{9}{400} \mathrm{R}$

  3. $\frac{5}{36} R$

  4. $\frac{7}{6} R$


Correct Option: , 3

Solution:

Leave a comment