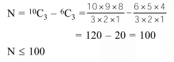
Question: There are 10 points in a plane, out of these 6 are collinear. If N is the number of triangles formed
by joining these points, then :
$\mathrm{N}>190$
$\mathrm{N} \leq 100$
$100<\mathrm{N} \leq 140$
$140<\mathrm{N} \leq 190$
Correct Option: , 2
Solution:
