Three isomers A, B and C (mol. formula
Question:
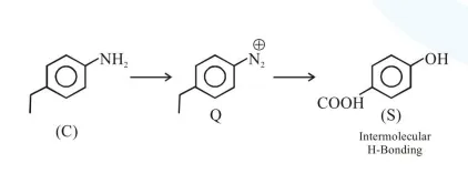
Three isomers A, B and C (mol. formula $\mathrm{C}_{8} \mathrm{H}_{11} \mathrm{~N}$ ) give the following results :

$\mathrm{R}$ has lower boiling point than $\mathrm{S}$
B $\mathrm{C}_{6} \mathrm{H}_{5} \mathrm{SO}_{2} \mathrm{Cl} \rightarrow$ alkali-insoluble product
$\mathrm{A}, \mathrm{B}$ and $\mathrm{C}$, respectively are :
Correct Option: , 2
Solution:






