Three vertices of a triangle are
Question:
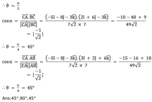
Three vertices of a triangle are $A(0,-1,-2), B(3,1,4)$ and $C(5,7,1)$. Show that it is a right - angled triangle. Also, find its other two angles.
Solution:

