Tick (✓) the correct answer:

Question:

Tick (✓) the correct answer:

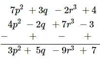
(3q + 7p2 − 2r3 + 4) − (4p2 − 2q + 7r3 − 3) = ?

(a) (p2 + 2q + 5r3 + 1)

(b) (11p2 + q + 5r3 + 1)

(c) (−3p2 − 5q + 9r3 − 7)

(d) (3p2 + 5q − 9r3 +7)

Solution:

(d) (3p2 + 5q − 9r3 +7)

Leave a comment