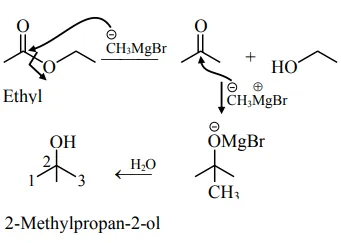
To synthesise 1.0 mole of 2 -methylpropan-2-ol from Ethylethanoate
Question:
To synthesise $1.0$ mole of 2 -methylpropan-2-ol from Ethylethanoate equivalents of $\mathrm{CH}_{3} \mathrm{MgBr}$ reagent will be required. (Integer value)
Solution:
