Two charged particles placed at a separation of

Question:

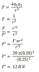
Two charged particles placed at a separation of $20 \mathrm{~cm}$ exert $20 \mathrm{~N}$ of Coulomb force on each other. What will be the force if the separation is increased to $25 \mathrm{~cm}$ ?

Solution:

Leave a comment