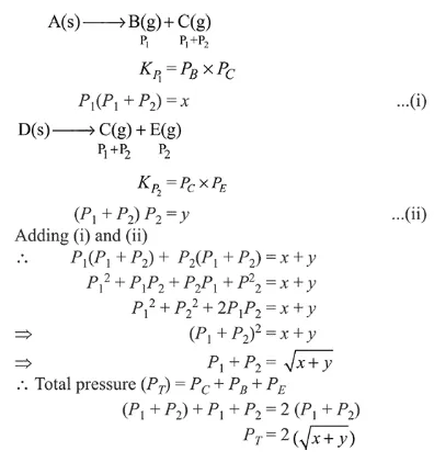
Two solids dissociate as follows

Question:

Two solids dissociate as follows

The total pressure when both the solids dissociate simultaneously is:

  1. $\sqrt{x+y}$ atm

  2. $2(\sqrt{x+y})$ atm

  3. $(x+y)$ atm

  4. $x^{2}+y^{2}$ atm


Correct Option: , 2

Solution:

Leave a comment