Using differentials, find the approximate values of

Question:

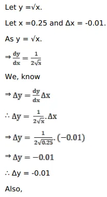
Using differentials, find the approximate values of: Find the approximate values of $\sqrt{0.24}$

Solution:

Leave a comment