Using integration, find the area of the region bounded

Question:

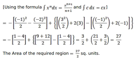
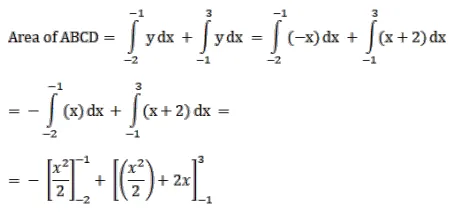
Using integration, find the area of the region bounded by the lines $y=1|x+1|, x=-2, x=3$ and $y=0$.

Solution:

Leave a comment