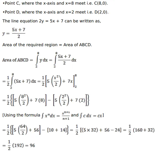
Using integration, find the area of the region bounded
Download now India's Best Exam Prepration App
Class 8-9-10, JEE & NEET
Video Lectures
Live Sessions
Study Material
Tests
Previous Year Paper
Revision
Question:
Using integration, find the area of the region bounded by the lines $2 y=5 x+7$, the $x$-axis and the lines $2 y=5 x+7$, the $x$-axis, and the lines $x=2$ and $x=8$.