Using properties of determinants prove that:

Question:

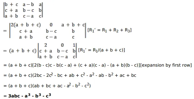
Using properties of determinants prove that:

$\left|\begin{array}{lll}b+c & a-b & a \\ c+a & b-c & b \\ a+b & c-a & c\end{array}\right|=3 a b c-a^{3}-b^{3}-c^{3}$

Solution:

Leave a comment