Using properties of determinants prove that:
Question:
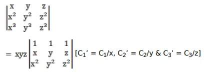
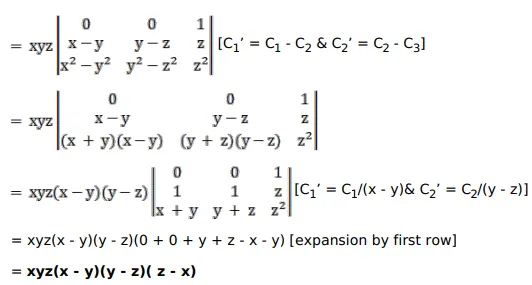
Using properties of determinants prove that:
$\left|\begin{array}{ccc}x & y & z \\ x^{2} & y^{2} & z^{2} \\ x^{3} & y^{3} & z^{3}\end{array}\right|=x y z(x-y)(y-z)(z-x)$
Solution:

