Using properties of determinants prove that:

Question:

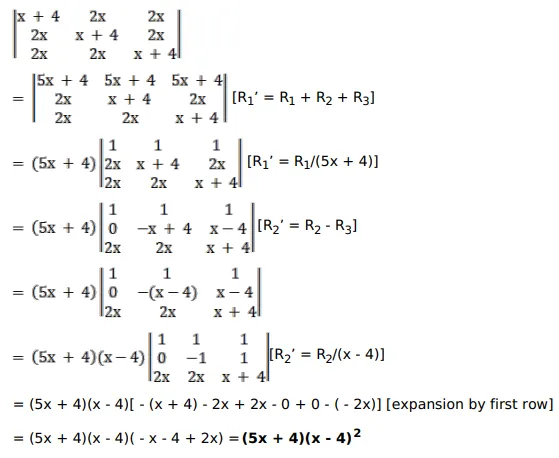
Using properties of determinants prove that:

$\left|\begin{array}{ccc}x+4 & 2 x & 2 x \\ 2 x & x+4 & 2 x \\ 2 x & 2 x & x+4\end{array}\right|=(5 x+4)(x-4)^{2}$

Solution:

Leave a comment