Using properties of determinants prove that:

Question:

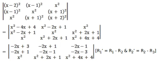
Using properties of determinants prove that:

$\left|\begin{array}{ccc}(x-2)^{2} & (x-1)^{2} & x^{2} \\ (x-1)^{2} & x^{2} & (x+1)^{2} \\ x^{2} & (x+1)^{2} & (x+2)^{2}\end{array}\right|=-8$

Solution:

Leave a comment