Using properties of determinants prove that:

Question:

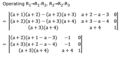
Using properties of determinants prove that:

$\left|\begin{array}{lll}(a+1)(a+2) & a+2 & 1 \\ (a+2)(a+3) & a+3 & 1 \\ (a+3)(a+4) & a+4 & 1\end{array}\right|=-2$

Solution:

Leave a comment