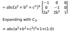
Using properties of determinants prove that:
Question:
Using properties of determinants prove that:
$\left|\begin{array}{ccc}-a\left(b^{2}+c^{2}-a^{2}\right) & 2 b^{3} & 2 c^{3} \\ 2 a^{3} & -b\left(c^{2}+a^{2}-b^{2}\right) & 2 c^{3} \\ 2 a^{3} & a b^{3} & -c\left(a^{2}+b^{2}+c^{2}\right)\end{array}\right|=(a b c)\left(a^{2}+b^{2}+c^{2}\right)^{3}$
Solution:


