Using properties of determinants prove that:

Question:

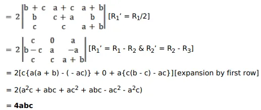
Using properties of determinants prove that:

$\left|\begin{array}{ccc}b+c & a & a \\ b & c+a & b \\ c & c & a+b\end{array}\right|=4 a b c$

Solution:

Leave a comment