Using properties of determinants prove that:

Question:

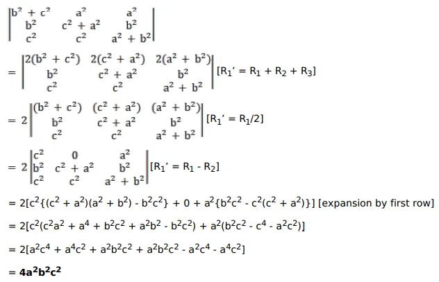
Using properties of determinants prove that:

$\left|\begin{array}{ccc}b^{2}+c^{2} & a^{2} & a^{2} \\ b^{2} & c^{2}+a^{2} & b^{2} \\ c^{2} & c^{2} & a^{2}+b^{2}\end{array}\right|=4 a^{2} b^{2} c^{2}$

Solution:

Leave a comment