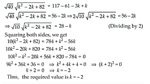
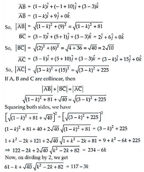
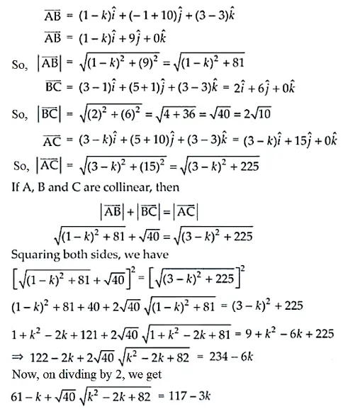
Using vectors,

Question:

Using vectors, find the value of such that the points (k, – 10, 3), (1, –1, 3) and (3, 5, 3) are collinear.

Solution:

Let the given points be A(k, – 10, 3), B(1, –1, 3) and C(3, 5, 3).

Leave a comment