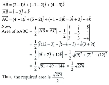
Using vectors,

Question:

Using vectors, find the area of the triangle ABC with

vertices A(1, 2, 3), B(2, – 1, 4) and C(4, 5, – 1).

Solution:

Given vertices A(1, 2, 3), B(2, – 1, 4) and C(4, 5, – 1).

Leave a comment