Question:
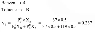
Vapour pressure of pure benzene is 119 torr and that of toluene is 37.0 torr at the same temperature.
Mole fraction of toluene in vapour phase which is in equilibrium with a solution of benzene
and toluene having a mole fraction of toluene 0.50, will be :
Correct Option: , 3
Solution:
