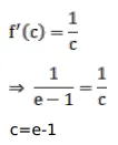
Verify Lagrange's mean-value theorem for the following function:

Question:

Verify Lagrange's mean-value theorem for the following function:

$f(\mathrm{x})=\log \mathrm{x}$ on $[1, \mathrm{e}]$

Solution:

Leave a comment