Verify that

Question:

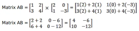
Verify that $A(B+C)=(A B+A C)$, when

$A=\left[\begin{array}{ll}1 & 2 \\ 3 & 4\end{array}\right], B=\left[\begin{array}{cc}2 & 0 \\ 1 & -3\end{array}\right]$ and $C=\left[\begin{array}{cc}1 & -1 \\ 0 & 1\end{array}\right]$

 

Solution:

 

Leave a comment