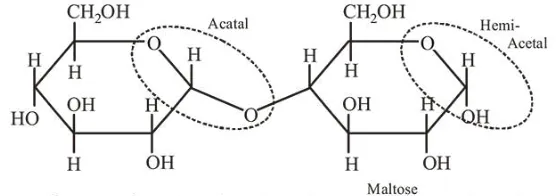
Question: What are the functional groups present in the structure of maltose?
One ketal and hemiketal
Two acetals
One acetal and one hemiacetal
One acetal and one ketal
Correct Option: , 3
Solution:
One acetal and one hemi acetal group is present in maltose.
