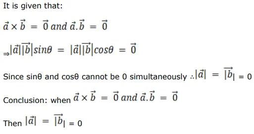
What conclusion can you draw about vectors
Question:
What conclusion can you draw about vectors $\vec{a}$ and $\vec{b}$ when $\vec{a} \times \vec{b}=\overrightarrow{0}$ and $\vec{a} \cdot \vec{b}=0$ ?
Solution:
