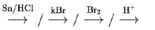
What is the correct sequence of reagents used for converting nitrobenzene into m dibromobenzene?

Question:

What is the correct sequence of reagents used for converting nitrobenzene into m dibromobenzene?


Correct Option: , 4

Solution:

Leave a comment