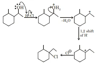
What is the final product (major) 'A' in the given reaction ?

Question:

What is the final product (major) 'A' in the given reaction ?


Correct Option: 1

Solution:

Leave a comment