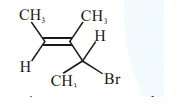
What is the IUPAC name of

Question:

What is the IUPAC name of the following compound?

  1. 3-Bromo-1, 2-dimethylbut-1-ene]

  2. 4-Bromo-3-methylpent-2-ene

  3. 2 -Bromo-3-methylpent-3-ene

  4. 3-Bromo-3-methyl-1, 2-dimethylprop-1-ene


Correct Option: , 2

Solution:

4-Bromo-3-methylpent-2-ene

Leave a comment